登录
/
注册
全站首页
社区论坛
求职招聘
设为首页
客户端
扫码下载客户端
官方微信
打开微信扫一扫
广告联系
登录
|
注册
搜索
搜索
本版
帖子
用户
用户名
Email
自动登录
找回密码
密码
登录
立即注册
全站首页
社区论坛
求职招聘
签到排行
用户排行
帖子
好友
道具
收藏
勋章
任务
淘帖
动态
日志
相册
分享
记录
留言板
广播
群组
门户
导读
排行榜
设置
我的收藏
退出
门户
房产
装修
汽车
婚嫁
资讯
活动
招聘
相亲
信息
租房
二手房
跳蚤
宠物
招聘
二手车
亲子
手机
社区
茶座
我要买房
找设计
装修家居
交友
职场
生活
网购
情感
皋城车友
找美食
谈婚论嫁
求医
兴趣
验房
走近
六安论坛
»
社区论坛
›
会员之家
›
六安百态
›
环保又节约!六安2018年12月新购置649台公交车 ...
返回列表
发新帖
回复
阅读
1981
回复
2
[六安事儿]
环保又节约!六安2018年12月新购置649台公交车
[复制链接]
我爱上淘宝
我爱上淘宝
当前离线
积分
2604
IP卡
狗仔卡
发表于 2019-2-27 14:09
|
显示全部楼层
|
阅读模式
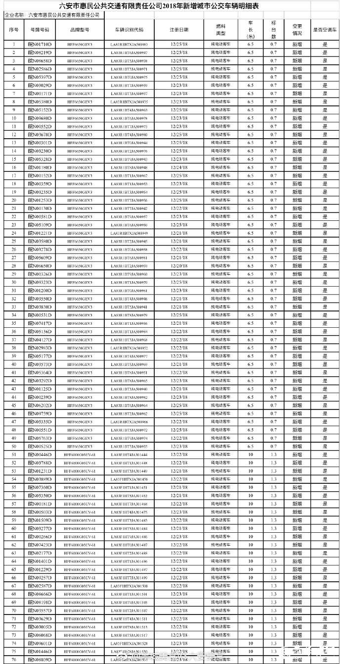
为进一步加快新能源
汽车
在公交领域的推广应用,促进公交行业节能减排和结构调整,尽力为大气污染防治做出贡献。我市2018年12月新购置649台公交车,其中新购置纯电动公交车共479台,插电式混合动力公交车共170台。其中
六安
市公共交通总公司新增城市公交车辆160台(城市公交),六安市惠民公共交通有限责任公司新增城市公交车辆489台(城乡公交)。
12万还是老老实实坐公交吧,又环保又节约。
六安论坛
回复
使用道具
举报
提升卡
置顶卡
沉默卡
喧嚣卡
变色卡
千斤顶
显身卡
z520
z520
当前离线
积分
1689
IP卡
狗仔卡
发表于 2019-2-27 14:10
|
显示全部楼层
厉害了
六安论坛
回复
鲜花
臭蛋
使用道具
举报
显身卡
伸杆打闪
伸杆打闪
当前离线
积分
772
IP卡
狗仔卡
发表于 2019-2-28 08:36
|
显示全部楼层
六安论坛
回复
鲜花
臭蛋
使用道具
举报
显身卡
返回列表
发新帖
回复
登录
|
注册
高级模式
B
Color
Image
Link
Quote
Code
Smilies
您需要登录后才可以回帖
登录
|
立即注册
本版积分规则
发表回复
回帖并转播
回帖后跳转到最后一页
侵权举报:本页面所涉内容为用户发表并上传,相应的法律责任由用户自行承担;本网站仅提供存储服务;如存在侵权问题,请权利人与本网站联系删除!举报微信号:
点击查看