本帖最后由 东方少侠 于 2011-6-10 08:44 编辑
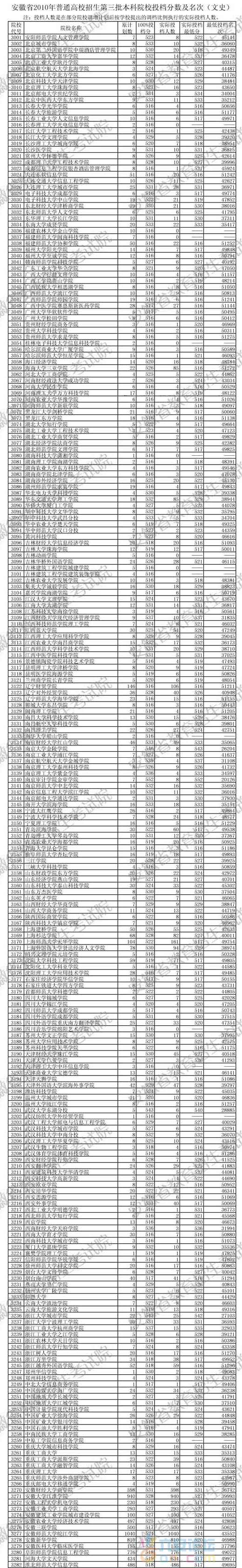
安徽省2010年普通高校招生第一批本科院校投档分数及排名(文史) 注:投档人数是在部分院校调增计划后按学校提出的调档比例执行的实际投档人数。 | 院校代号 | 院校名称 | 原计划数 | 原计划100%投档分 | 投档人数 | 实际最低投档分 | 最低投档名次 | 1001 | 北方工业大学 | 10 | 589 | 10 | 589 | 3709 | 1002 | 北京大学 | 13 | 650 | 13 | 647 | 28 | 1004 | 北京第二外国语学院 | 10 | 613 | 11 | 611 | 1006 | 1005 | 北京工商大学 | 4 | 604 | 5 | 599 | 2053 | 1006 | 北京工业大学 | 3 | 584 | 4 | 583 | 5189 | 1007 | 北京航空航天大学 | 5 | 617 | 5 | 617 | 620 | 1008 | 北京化工大学 | 13 | 588 | 15 | 584 | 4856 | 1011 | 北京理工大学 | 5 | 608 | 6 | 607 | 1268 | 1012 | 北京林业大学 | 10 | 599 | 11 | 599 | 2083 | 1014 | 北京师范大学-香港浸会大学联合国际学院 | 15 | 573 | 13 | 573 | 8602 | 1015 | 北京体育大学 | 9 | 588 | 10 | 587 | 4209 | 1016 | 北京外国语大学 | 6 | 626 | 6 | 583 | 5084 | 1017 | 北京邮电大学 | 6 | 603 | 7 | 598 | 2278 | 1019 | 北京语言大学 | 13 | 616 | 14 | 615 | 724 | 1021 | 长安大学 | 13 | 584 | 15 | 579 | 6522 | 1022 | 长春理工大学 | 4 | 573 | 1 | 576 | 7324 | 1024 | 长沙理工大学 | 14 | 582 | 15 | 581 | 5876 | 1026 | 大连海事大学 | 10 | 594 | 12 | 585 | 4746 | 1031 | 东北财经大学 | 46 | 609 | 46 | 607 | 1246 | 1032 | 东北大学 | 12 | 581 | 14 | 581 | 5912 | 1034 | 东北林业大学 | 12 | 581 | 13 | 580 | 5988 | 1035 | 东北农业大学 | 10 | 574 | 11 | 574 | 8304 | 1038 | 东南大学 | 25 | 615 | 27 | 614 | 773 | 1039 | 对外经济贸易大学 | 23 | 631 | 27 | 628 | 259 | 1040 | 福州大学 | 16 | 597 | 17 | 595 | 2655 | 1041 | 复旦大学 | 12 | 643 | 13 | 643 | 49 | 1042 | 广东外语外贸大学 | 30 | 608 | 32 | 606 | 1341 | 1045 | 广州大学 | 22 | 584 | 26 | 583 | 5215 | 1047 | 广州中医药大学 | 12 | 573 | 7 | 573 | 8582 | 1048 | 贵州大学 | 8 | 576 | 9 | 576 | 7359 | 1049 | 哈尔滨工程大学 | 9 | 578 | 10 | 578 | 6832 | 1050 | 哈尔滨工业大学 | 10 | 599 | 13 | 597 | 2337 | 1053 | 海南大学 | 91 | 581 | 96 | 580 | 6099 | 1055 | 合肥工业大学 | 58 | 584 | 61 | 582 | 5414 | 1056 | 河北大学 | 14 | 573 | 13 | 573 | 8472 | 1058 | 河海大学 | 22 | 603 | 24 | 601 | 1851 | 1059 | 河南大学 | 29 | 578 | 31 | 575 | 7810 | 1063 | 湖北大学 | 33 | 583 | 40 | 580 | 6009 | 1064 | 湖南大学 | 16 | 599 | 17 | 598 | 2284 | 1066 | 湖南科技大学 | 26 | 580 | 28 | 579 | 6259 | 1067 | 湖南师范大学 | 29 | 584 | 29 | 583 | 5274 | 1068 | 华北电力大学(保定) | 5 | 589 | 6 | 585 | 4669 | 1069 | 华北电力大学(北京) | 13 | 598 | 14 | 597 | 2382 | 1070 | 华东交通大学 | 12 | 580 | 13 | 579 | 6403 | 1071 | 华东理工大学 | 30 | 599 | 33 | 597 | 2318 | 1072 | 华东师范大学 | 41 | 617 | 44 | 614 | 745 | 1073 | 华东政法大学 | 109 | 612 | 115 | 610 | 1049 | 1074 | 华南理工大学 | 20 | 600 | 20 | 599 | 2155 | 1075 | 华南农业大学 | 28 | 573 | 19 | 575 | 7886 | 1076 | 华南师范大学 | 14 | 591 | 14 | 591 | 3466 | 1077 | 华中科技大学 | 29 | 604 | 31 | 603 | 1620 | 1078 | 华中农业大学 | 22 | 588 | 29 | 583 | 5255 | 1079 | 华中师范大学 | 20 | 601 | 21 | 600 | 2008 | 1080 | 吉林大学 | 20 | 604 | 21 | 604 | 1501 | 1081 | 江南大学 | 32 | 600 | 36 | 599 | 2107 | 1082 | 江苏大学 | 18 | 598 | 19 | 597 | 2394 | 1083 | 江苏科技大学 | 8 | 588 | 8 | 588 | 3970 | 1084 | 江西财经大学 | 26 | 603 | 28 | 602 | 1768 | 1085 | 江西理工大学 | 1 | 583 | 2 | 579 | 6448 | 1086 | 兰州大学 | 30 | 595 | 32 | 595 | 2728 | 1087 | 辽宁大学 | 92 | 583 | 97 | 583 | 5352 | 1088 | 辽宁工程技术大学 | 26 | 573 | 17 | 573 | 8529 | 1089 | 辽宁石油化工大学 | 17 | 573 | 2 | 574 | 8102 | 1090 | 内蒙古大学 | 8 | 573 | 4 | 574 | 8086 | 1091 | 南昌大学 | 40 | 593 | 44 | 593 | 3073 | 1093 | 南方医科大学 | 17 | 587 | 17 | 585 | 4671 | 1094 | 南京财经大学 | 57 | 608 | 60 | 606 | 1345 | 1095 | 南京大学 | 26 | 635 | 27 | 631 | 197 | 1096 | 南京工业大学 | 30 | 593 | 32 | 592 | 3152 | 1097 | 南京航空航天大学 | 18 | 607 | 18 | 607 | 1279 | 1098 | 南京理工大学 | 6 | 595 | 6 | 594 | 2825 | 1099 | 南京林业大学 | 26 | 586 | 28 | 586 | 4371 | 1100 | 南京农业大学 | 28 | 594 | 31 | 592 | 3168 | 1101 | 南京审计学院 | 48 | 607 | 51 | 607 | 1302 | 1102 | 南京师范大学 | 17 | 605 | 18 | 604 | 1520 | 1103 | 南京信息工程大学 | 22 | 595 | 23 | 592 | 3178 | 1105 | 南京邮电大学 | 12 | 602 | 13 | 601 | 1827 | 1106 | 南开大学 | 27 | 629 | 29 | 627 | 270 | 1107 | 南通大学 | 10 | 573 | 7 | 574 | 8250 | 1108 | 宁波大学 | 10 | 596 | 11 | 595 | 2747 | 1109 | 宁波诺丁汉大学 | 12 | 592 | 13 | 592 | 3294 | 1110 | 宁夏大学 | 8 | 573 | 3 | 573 | 8452 | 1111 | 青岛大学 | 24 | 597 | 24 | 596 | 2518 | 1114 | 青海大学 | 8 | 573 | 1 | 582 | 5564 | 1115 | 清华大学 | 2 | 659 | 5 | 654 | 11 | 1117 | 山东大学 | 24 | 614 | 26 | 613 | 807 | 1118 | 山东大学威海分校 | 32 | 599 | 33 | 598 | 2276 | 1119 | 山东科技大学 | 18 | 588 | 18 | 587 | 4208 | 1122 | 汕头大学 | 11 | 594 | 12 | 593 | 2998 | 1123 | 上海财经大学 | 17 | 631 | 19 | 621 | 469 | 1124 | 上海大学 | 34 | 600 | 36 | 599 | 2096 | 1125 | 上海对外贸易学院 | 50 | 596 | 53 | 578 | 6760 | 1126 | 上海海事大学 | 28 | 603 | 30 | 601 | 1840 | 1127 | 上海交通大学 | 5 | 626 | 7 | 622 | 422 | 1129 | 上海金融学院 | 14 | 601 | 14 | 601 | 1875 | 1130 | 上海理工大学 | 25 | 594 | 27 | 593 | 2993 | 1131 | 上海外国语大学 | 18 | 623 | 18 | 623 | 404 | 1132 | 上海音乐学院 | 5 | 577 | 6 | 576 | 7500 | 1134 | 深圳大学 | 28 | 596 | 30 | 595 | 2750 | 1135 | 沈阳工业大学 | 17 | 579 | 18 | 578 | 6664 | 1139 | 石河子大学 | 17 | 573 | 0 | —— | —— | 1140 | 石家庄铁道大学 | 4 | 579 | 5 | 579 | 6276 | 1141 | 首都经济贸易大学 | 9 | 596 | 9 | 596 | 2530 | 1142 | 首都师范大学 | 7 | 592 | 8 | 591 | 3361 | 1143 | 四川大学 | 33 | 605 | 35 | 605 | 1480 | 1145 | 苏州大学 | 23 | 612 | 25 | 610 | 1027 | 1147 | 天津财经大学 | 44 | 606 | 47 | 603 | 1636 | 1148 | 天津大学 | 4 | 612 | 5 | 610 | 1029 | 1150 | 天津外国语大学 | 70 | 592 | 74 | 591 | 3336 | 1154 | 武汉大学 | 37 | 624 | 39 | 622 | 415 | 1155 | 武汉科技大学 | 13 | 573 | 9 | 573 | 8324 | 1156 | 武汉理工大学 | 23 | 592 | 25 | 591 | 3432 | 1160 | 西安建筑科技大学 | 2 | 579 | 3 | 574 | 8146 | 1162 | 西安科技大学 | 6 | 583 | 7 | 581 | 5902 | 1163 | 西安外国语大学 | 23 | 591 | 25 | 584 | 4930 | 1164 | 西安邮电学院 | 4 | 586 | 5 | 584 | 5012 | 1165 | 西北大学 | 18 | 593 | 19 | 593 | 3097 | 1166 | 西北工业大学 | 4 | 594 | 5 | 589 | 3825 | 1167 | 西北农林科技大学 | 7 | 581 | 9 | 580 | 6061 | 1168 | 西北政法大学 | 17 | 593 | 18 | 591 | 3448 | 1169 | 西交利物浦大学 | 30 | 575 | 30 | 574 | 8009 | 1170 | 西南财经大学 | 34 | 614 | 36 | 613 | 859 | 1171 | 西南大学 | 8 | 599 | 9 | 598 | 2295 | 1172 | 西南交通大学 | 13 | 594 | 14 | 593 | 3082 | 1173 | 西南科技大学 | 16 | 579 | 17 | 578 | 6789 | 1174 | 西南政法大学 | 69 | 602 | 73 | 601 | 1845 | 1175 | 厦门大学 | 29 | 626 | 31 | 624 | 350 | 1176 | 湘潭大学 | 36 | 584 | 38 | 583 | 5141 | 1179 | 延边大学 | 16 | 574 | 17 | 573 | 8414 | 1181 | 扬州大学 | 17 | 592 | 18 | 590 | 3490 | 1182 | 云南大学 | 18 | 573 | 13 | 573 | 8594 | 1183 | 浙江大学 | 8 | 634 | 10 | 631 | 188 | 1184 | 浙江工商大学 | 54 | 601 | 54 | 600 | 1977 | 1186 | 浙江理工大学 | 20 | 582 | 21 | 580 | 6100 | 1187 | 浙江师范大学 | 26 | 581 | 28 | 580 | 6008 | 1188 | 郑州大学 | 10 | 575 | 9 | 575 | 7747 | 1189 | 中北大学 | 20 | 579 | 21 | 578 | 6573 | 1190 | 中国传媒大学 | 11 | 617 | 12 | 616 | 641 | 1191 | 中国地质大学(北京) | 6 | 601 | 7 | 597 | 2420 | 1192 | 中国地质大学(武汉) | 9 | 597 | 10 | 597 | 2417 | 1193 | 中国海洋大学 | 20 | 599 | 21 | 594 | 2864 | 1194 | 中国计量学院 | 10 | 574 | 8 | 574 | 8281 | 1196 | 中国矿业大学 | 44 | 586 | 47 | 586 | 4543 | 1197 | 中国矿业大学(北京) | 8 | 589 | 9 | 586 | 4428 | 1198 | 中国民航大学 | 5 | 598 | 5 | 598 | 2281 | 1200 | 中国人民大学 | 29 | 639 | 46 | 635 | 133 | 1201 | 中国石油大学(北京) | 3 | 604 | 4 | 603 | 1624 | 1203 | 中国药科大学 | 8 | 600 | 10 | 597 | 2425 | 1205 | 中国政法大学 | 38 | 623 | 40 | 621 | 472 | 1206 | 中华女子学院 | 2 | 582 | 4 | 580 | 6222 | 1207 | 中南财经政法大学 | 50 | 615 | 50 | 614 | 756 | 1208 | 中南大学 | 24 | 597 | 26 | 597 | 2415 | 1209 | 中南林业科技大学 | 26 | 573 | 21 | 573 | 8544 | 1210 | 中山大学 | 37 | 622 | 39 | 620 | 485 | 1211 | 中央财经大学 | 16 | 628 | 18 | 625 | 342 | 1212 | 中央民族大学 | 10 | 605 | 10 | 604 | 1545 | 1213 | 重庆大学 | 23 | 600 | 28 | 599 | 2075 | 1214 | 重庆交通大学 | 15 | 576 | 16 | 575 | 7633 | 1216 | 重庆邮电大学 | 9 | 584 | 10 | 581 | 5687 | 1218 | 安徽财经大学 | 421 | 582 | 421 | 582 | 5572 | 1219 | 安徽大学 | 1270 | 586 | 1277 | 585 | 4643 | 1220 | 安徽工业大学 | 538 | 573 | 483 | 573 | 8686 | 1222 | 安徽农业大学 | 263 | 573 | 216 | 573 | 8676 | 1223 | 安徽师范大学 | 1584 | 573 | 1403 | 573 | 8687
|
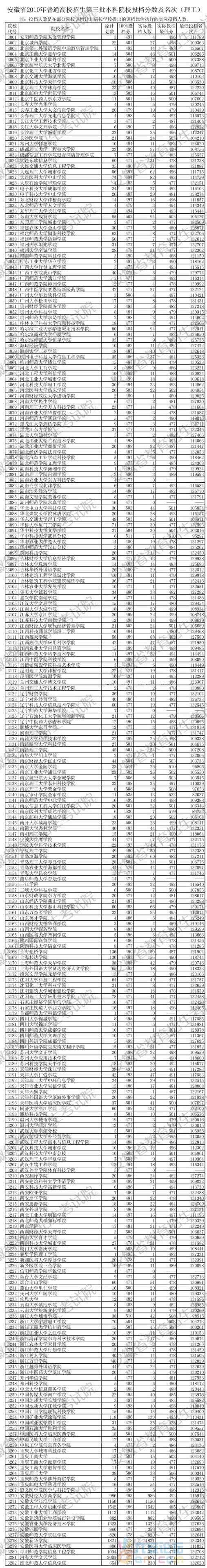
安徽省2010年普通高校招生第一批本科院校投档分数及排名(理工) 注:投档人数是在部分院校调增计划后按学校提出的调档比例执行的实际投档人数。 | 院校代号 | 院校名称 | 原计划数 | 原计划100%投档分 | 投档人数 | 实际最低投档分 | 最低投档名次 | 1001 | 北方工业大学 | 42 | 594 | 42 | 592 | 16101 | 1002 | 北京大学 | 20 | 675 | 20 | 674 | 127 | 1003 | 北京大学医学部 | 4 | 659 | 4 | 659 | 535 | 1004 | 北京第二外国语学院 | 13 | 622 | 14 | 621 | 5358 | 1005 | 北京工商大学 | 30 | 599 | 36 | 591 | 16524 | 1006 | 北京工业大学 | 32 | 620 | 34 | 617 | 6196 | 1007 | 北京航空航天大学 | 76 | 654 | 76 | 651 | 1022 | 1008 | 北京化工大学 | 94 | 606 | 104 | 603 | 10800 | 1009 | 北京交通大学 | 100 | 626 | 104 | 624 | 4589 | 1010 | 北京科技大学 | 110 | 625 | 121 | 622 | 4965 | 1011 | 北京理工大学 | 68 | 638 | 75 | 636 | 2551 | 1012 | 北京林业大学 | 65 | 594 | 69 | 592 | 16085 | 1014 | 北京师范大学-香港浸会大学联合国际学院 | 10 | 571 | 11 | 567 | 33064 | 1015 | 北京体育大学 | 21 | 578 | 23 | 576 | 25917 | 1016 | 北京外国语大学 | 7 | 643 | 8 | 638 | 2221 | 1017 | 北京邮电大学 | 103 | 645 | 114 | 642 | 1821 | 1018 | 北京邮电大学(宏福校区) | 9 | 572 | 10 | 570 | 30761 | 1019 | 北京语言大学 | 16 | 612 | 17 | 610 | 8252 | 1020 | 北京中医药大学 | 15 | 599 | 16 | 595 | 14587 | 1021 | 长安大学 | 197 | 595 | 207 | 592 | 16153 | 1022 | 长春理工大学 | 81 | 575 | 81 | 571 | 29265 | 1023 | 长江大学 | 7 | 570 | 7 | 570 | 30654 | 1024 | 长沙理工大学 | 77 | 588 | 81 | 586 | 19120 | 1025 | 常州大学 | 15 | 568 | 16 | 567 | 32985 | 1026 | 大连海事大学 | 64 | 605 | 77 | 600 | 11980 | 1027 | 大连交通大学 | 84 | 576 | 86 | 576 | 26151 | 1028 | 大连理工大学 | 133 | 630 | 153 | 626 | 4093 | 1029 | 大连医科大学 | 41 | 603 | 44 | 599 | 12663 | 1030 | 电子科技大学 | 175 | 618 | 189 | 616 | 6586 | 1031 | 东北财经大学 | 39 | 621 | 39 | 608 | 9145 | 1032 | 东北大学 | 93 | 606 | 103 | 604 | 10532 | 1033 | 东北大学秦皇岛分校 | 125 | 581 | 132 | 578 | 24630 | 1034 | 东北林业大学 | 94 | 572 | 99 | 570 | 30162 | 1035 | 东北农业大学 | 90 | 562 | 45 | 562 | 37521 | 1036 | 东北石油大学 | 64 | 575 | 64 | 571 | 29234 | 1037 | 东华大学 | 132 | 604 | 146 | 600 | 12006 | 1038 | 东南大学 | 189 | 638 | 195 | 635 | 2594 | 1039 | 对外经济贸易大学 | 22 | 648 | 22 | 645 | 1500 | 1040 | 福州大学 | 59 | 596 | 62 | 594 | 15117 | 1041 | 复旦大学 | 39 | 668 | 39 | 663 | 389 | 1042 | 广东外语外贸大学 | 30 | 602 | 32 | 595 | 14174 | 1043 | 广西大学 | 35 | 579 | 37 | 578 | 24454 | 1044 | 广西医科大学 | 2 | 601 | 2 | 601 | 11711 | 1045 | 广州大学 | 36 | 583 | 38 | 581 | 22071 | 1046 | 广州医学院 | 19 | 583 | 19 | 582 | 21894 | 1047 | 广州中医药大学 | 32 | 582 | 34 | 580 | 23277 | 1048 | 贵州大学 | 34 | 578 | 36 | 576 | 25513 | 1049 | 哈尔滨工程大学 | 71 | 602 | 75 | 600 | 12232 | 1050 | 哈尔滨工业大学 | 100 | 638 | 105 | 637 | 2432 | 1051 | 哈尔滨工业大学(威海) | 95 | 608 | 100 | 606 | 9725 | 1052 | 哈尔滨医科大学 | 30 | 593 | 32 | 590 | 16813 | 1053 | 海南大学 | 200 | 578 | 210 | 576 | 26077 | 1054 | 杭州电子科技大学 | 110 | 597 | 116 | 595 | 14583 | 1055 | 合肥工业大学 | 1630 | 602 | 1796 | 599 | 12455 | 1056 | 河北大学 | 13 | 566 | 13 | 566 | 34087 | 1057 | 河北工业大学 | 20 | 591 | 21 | 587 | 18836 | 1058 | 河海大学 | 176 | 618 | 194 | 614 | 7024 | 1059 | 河南大学 | 50 | 579 | 53 | 575 | 26671 | 1060 | 河南工业大学 | 4 | 562 | 5 | 562 | 37337 | 1061 | 河南理工大学 | 25 | 563 | 25 | 562 | 37194 | 1062 | 黑龙江中医药大学 | 6 | 584 | 6 | 584 | 20409 | 1063 | 湖北大学 | 50 | 580 | 60 | 572 | 28754 | 1064 | 湖南大学 | 96 | 613 | 101 | 610 | 8164 | 1065 | 湖南工业大学 | 40 | 562 | 16 | 562 | 37651 | 1066 | 湖南科技大学 | 55 | 577 | 58 | 576 | 25810 | 1067 | 湖南师范大学 | 33 | 580 | 33 | 577 | 25077 | 1068 | 华北电力大学(保定) | 66 | 613 | 70 | 611 | 8009 | 1069 | 华北电力大学(北京) | 80 | 626 | 84 | 623 | 4839 | 1070 | 华东交通大学 | 52 | 574 | 55 | 573 | 28314 | 1071 | 华东理工大学 | 148 | 628 | 178 | 624 | 4644 | 1072 | 华东师范大学 | 67 | 625 | 71 | 619 | 5769 | 1073 | 华东政法大学 | 135 | 611 | 142 | 609 | , 8788 | 1074 | 华南理工大学 | 74 | 627 | 74 | 624 | 4462 | 1075 | 华南农业大学 | 173 | 573 | 182 | 572 | 29095 | 1076 | 华南师范大学 | 21 | 578 | 21 | 576 | 25946 | 1077 | 华中科技大学 | 166 | 638 | 173 | 635 | 2659 | 1078 | 华中农业大学 | 93 | 579 | 121 | 571 | 29223 | 1079 | 华中师范大学 | 36 | 595 | 37 | 592 | 15699 | 1080 | 吉林大学 | 150 | 613 | 158 | 611 | 8104 | 1081 | 江南大学 | 180 | 598 | 195 | 594 | 14706 | 1082 | 江苏大学 | 102 | 594 | 108 | 592 | 16123 | 1083 | 江苏科技大学 | 62 | 590 | 62 | 588 | 17903 | 1084 | 江西财经大学 | 42 | 604 | 45 | 600 | 12058 | 1085 | 江西理工大学 | 29 | 562 | 19 | 563 | 36833 | 1086 | 兰州大学 | 87 | 600 | 92 | 597 | 13573 | 1087 | 辽宁大学 | 76 | 580 | 80 | 577 | 24748 | 1088 | 辽宁工程技术大学 | 174 | 572 | 183 | 569 | 30808 | 1089 | 辽宁石油化工大学 | 133 | 562 | 65 | 562 | 37648 | 1090 | 内蒙古大学 | 12 | 568 | 12 | 567 | 32579 | 1091 | 南昌大学 | 127 | 590 | 140 | 586 | 19070 | 1092 | 南昌航空大学 | 12 | 584 | 15 | 582 | 21641 | 1093 | 南方医科大学 | 106 | 604 | 112 | 601 | 11826 | 1094 | 南京财经大学 | 58 | 609 | 61 | 608 | 9150 | 1095 | 南京大学 | 52 | 660 | 72 | 653 | 907 | 1096 | 南京工业大学 | 125 | 599 | 132 | 595 | 14530 | 1097 | 南京航空航天大学 | 156 | 634 | 156 | 632 | 3070 | 1098 | 南京理工大学 | 147 | 628 | 149 | 627 | 4030 | 1099 | 南京林业大学 | 179 | 582 | 188 | 580 | 23125 | 1100 | 南京农业大学 | 159 | 588 | 175 | 584 | 20227 | 1101 | 南京审计学院 | 51 | 615 | 54 | 613 | 7546 | 1102 | 南京师范大学 | 53 | 587 | 56 | 579 | 23731 | 1103 | 南京信息工程大学 | 63 | 593 | 65 | 590 | 16864 | 1104 | 南京医科大学 | 20 | 618 | 21 | 618 | 6060 | 1105 | 南京邮电大学 | 129 | 618 | 136 | 610 | 8356 | 1106 | 南开大学 | 43 | 656 | 46 | 650 | 1048 | 1107 | 南通大学 | 62 | 582 | 66 | 579 | 23624 | 1108 | 宁波大学 | 63 | 588 | 67 | 584 | 20271 | 1109 | 宁波诺丁汉大学 | 25 | 577 | 27 | 577 | 25398 | 1110 | 宁夏大学 | 14 | 562 | 3 | 564 | 35648 | 1111 | 青岛大学 | 93 | 592 | 93 | 589 | 17528 | 1112 | 青岛科技大学 | 64 | 584 | 68 | 581 | 22303 | 1113 | 青岛理工大学 | 170 | 589 | 179 | 588 | 18286 | 1114 | 青海大学 | 42 | 568 | 45 | 566 | 33660 | 1115 | 清华大学 | 41 | 676 | 76 | 675 | 103 | 1116 | 三峡大学 | 4 | 578 | 4 | 577 | 24947 | 1117 | 山东大学 | 144 | 626 | 173 | 621 | 5152 | 1118 | 山东大学威海分校 | 53 | 595 | 55 | 594 | 15026 | 1119 | 山东科技大学 | 92 | 586 | 92 | 584 | 20247 | 1120 | 山西医科大学 | 2 | 601 | 2 | 601 | 11702 | 1121 | 陕西科技大学 | 29 | 579 | 31 | 578 | 24617 | 1122 | 汕头大学 | 22 | 592 | 24 | 591 | 16644 | 1123 | 上海财经大学 | 38 | 652 | 48 | 649 | 1156 | 1124 | 上海大学 | 275 | 607 | 289 | 604 | 10573 | 1125 | 上海对外贸易学院 | 100 | 599 | 92 | 563 | 36822 | 1126 | 上海海事大学 | 160 | 594 | 168 | 588 | 17987 | 1127 | 上海交通大学 | 27 | 666 | 27 | 663 | 375 | 1128 | 上海交通大学医学院 | 20 | 651 | 21 | 644 | 1564 | 1129 | 上海金融学院 | 16 | 603 | 16 | 602 | 11385 | 1130 | 上海理工大学 | 220 | 597 | 242 | 593 | 15180 | 1131 | 上海外国语大学 | 18 | 641 | 18 | 639 | 2122 | 1132 | 上海音乐学院 | 2 | 587 | 3 | 568 | 32192 | 1133 | 上海中医药大学 | 20 | 590 | 21 | 588 | 17963 | 1134 | 深圳大学 | 46 | 596 | 49 | 592 | 15995 | 1135 | 沈阳工业大学 | 96 | 581 | 101 | 577 | 25183 | 1136 | 沈阳建筑大学 | 103 | 577 | 109 | 576 | 26018 | 1137 | 沈阳农业大学 | 126 | 562 | 45 | 562 | 37770 | 1138 | 沈阳药科大学 | 65 | 576 | 72 | 572 | 28453 | 1139 | 石河子大学 | 97 | 562 | 63 | 562 | 37795 | 1140 | 石家庄铁道大学 | 20 | 591 | 21 | 589 | 17390 | 1141 | 首都经济贸易大学 | 21 | 600 | 21 | 599 | 12744 | 1142 | 首都师范大学 | 13 | 583 | 14 | 580 | 23248 | 1143 | 四川大学 | 225 | 616 | 237 | 613 | 7464 | 1144 | 四川农业大学 | 15 | 564 | 18 | 562 | 37207 | 1145 | 苏州大学 | 93 | 619 | 98 | 614 | 7049 | 1146 | 太原理工大学 | 86 | 585 | 91 | 577 | 25350 | 1147 | 天津财经大学 | 55 | 609 | 58 | 607 | 9307 | 1148 | 天津大学 | 96 | 636 | 106 | 634 | 2794 | 1149 | 天津工业大学 | 180 | 584 | 216 | 582 | 21982 | 1150 | 天津外国语大学 | 57 | 582 | 60 | 581 | 22477 | 1151 | 天津医科大学 | 61 | 609 | 65 | 604 | 10328 | 1152 | 天津中医药大学 | 7 | 584 | 7 | 581 | 22203 | 1153 | 同济大学 | 144 | 652 | 152 | 648 | 1224 | 1154 | 武汉大学 | 174 | 641 | 183 | 638 | 2237 | 1155 | 武汉科技大学 | 63 | 597 | 67 | 591 | 16345 | 1156 | 武汉理工大学 | 279 | 611 | 285 | 606 | 9556 | 1157 | 西安电子科技大学 | 159 | 615 | 167 | 612 | 7845 | 1158 | 西安工程大学 | 22 | 580 | 27 | 576 | 25543 | 1159 | 西安工业大学 | 6 | 569 | 7 | 567 | 32630 | 1160 | 西安建筑科技大学 | 16 | 590 | 17 | 587 | 18677 | 1161 | 西安交通大学 | 42 | 650 | 63 | 645 | 1451 | 1162 | 西安科技大学 | 81 | 586 | 86 | 582 | 21719 | 1163 | 西安外国语大学 | 12 | 593 | 13 | 569 | 31097 | 1164 | 西安邮电学院 | 64 | 585 | 68 | 583 | 21032 | 1165 | 西北大学 | 24 | 590 | 26 | 583 | 21377 | 1166 | 西北工业大学 | 141 | 623 | 144 | 620 | 5382 | 1167 | 西北农林科技大学 | 117 | 578 | 129 | 575 | 26651 | 1168 | 西北政法大学 | 8 | 586 | 9 | 585 | 19811 | 1169 | 西交利物浦大学 | 47 | 574 | 50 | 572 | 28776 | 1170 | 西南财经大学 | 68 | 624 | 72 | 623 | 4878 | 1171 | 西南大学 | 43 | 588 | 46 | 586 | 19141 | 1172 | 西南交通大学 | 100 | 607 | 105 | 606 | 9853 | 1173 | 西南科技大学 | 69 | 578 | 73 | 576 | 25671 | 1174 | 西南政法大学 | 61 | 595 | 65 | 591 | 16460 | 1175 | 厦门大学 | 97 | 639 | 102 | 634 | 2825 | 1176 | 湘潭大学 | 33 | 584 | 35 | 581 | 22533 | 1177 | 新疆大学 | 22 | 562 | 14 | 562 | 37592 | 1178 | 新疆医科大学 | 1 | 583 | 2 | 581 | 22143 | 1179 | 延边大学 | 21 | 572 | 23 | 570 | 30340 | 1180 | 燕山大学 | 11 | 587 | 12 | 582 | 21956 | 1181 | 扬州大学 | 103 | 588 | 109 | 584 | 20177 | 1182 | 云南大学 | 32 | 569 | 32 | 568 | 31799 | 1183 | 浙江大学 | 55 | 661 | 58 | 659 | 558 | 1184 | 浙江工商大学 | 136 | 594 | 136 | 592 | 16009 | 1185 | 浙江工业大学 | 65 | 599 | 69 | 594 | 14787 | 1186 | 浙江理工大学 | 50 | 593 | 55 | 589 | 17724 | 1187 | 浙江师范大学 | 37 | 573 | 39 | 572 | 29004 | 1188 | 郑州大学 | 70 | 594 | 74 | 591 | 16293 | 1189 | 中北大学 | 158 | 577 | 166 | 573 | 27710 | 1190 | 中国传媒大学 | 33 | 617 | 35 | 611 | 7890 | 1191 | 中国地质大学(北京) | 56 | 600 | 59 | 595 | 14406 | 1192 | 中国地质大学(武汉) | 69 | 595 | 83 | 591 | 16322 | 1193 | 中国海洋大学 | 70 | 609 | 74 | 606 | 9652 | 1194 | 中国计量学院 | 70 | 589 | 74 | 587 | 18528 | 1195 | 中国科学技术大学 | 80 | 666 | 201 | 657 | 678 | 1196 | 中国矿业大学 | 316 | 593 | 332 | 591 | 16242 | 1197 | 中国矿业大学(北京) | 72 | 598 | 76 | 595 | 14323 | 1198 | 中国民航大学 | 106 | 593 | 106 | 589 | 17394 | 1199 | 中国农业大学 | 103 | 605 | 107 | 599 | 12765 | 1200 | 中国人民大学 | 28 | 662 | 34 | 657 | 633 | 1201 | 中国石油大学(北京) | 79 | 610 | 87 | 607 | 9508 | 1202 | 中国石油大学(华东) | 150 | 593 | 155 | 590 | 16936 | 1203 | 中国药科大学 | 86 | 602 | 104 | 594 | 14751 | 1204 | 中国医科大学 | 50 | 616 | 53 | 611 | 8021 | 1205 | 中国政法大学 | 32 | 635 | 34 | 633 | 2953 | 1206 | 中华女子学院 | 2 | 575 | 3 | 569 | 31145 | 1207 | 中南财经政法大学 | 58 | 621 | 58 | 619 | 5785 | 1208 | 中南大学 | 225 | 617 | 256 | 612 | 7848 | 1209 | 中南林业科技大学 | 78 | 562 | 34 | 562 | 37532 | 1210 | 中山大学 | 101 | 636 | 112 | 632 | 3044 | 1211 | 中央财经大学 | 42 | 650 | 44 | 646 | 1406 | 1212 | 中央民族大学 | 21 | 598 | 21 | 597 | 13463 | 1213 | 重庆大学 | 146 | 613 | 176 | 609 | 8538 | 1214 | 重庆交通大学 | 85 | 573 | 90 | 572 | 28893 | 1215 | 重庆医科大学 | 25 | 599 | 25 | 597 | 13252 | 1216 | 重庆邮电大学 | 152 | 589 | 160 | 586 | 19196 | 1218 | 安徽财经大学 | 1122 | 571 | 1122 | 570 | 30741 | 1219 | 安徽大学 | 2356 | 584 | 2365 | 582 | 21935 | 1220 | 安徽工业大学 | 3152 | 570 | 3152 | 569 | 31349 | 1221 | 安徽理工大学 | 2286 | 562 | 1754 | 562 | 37815 | 1222 | 安徽农业大学 | 1393 | 562 | 644 | 562 | 37809 | 1223 | 安徽师范大学 | 2497 | 562 | 2153 | 562 | 37812 | 1224 | 安徽医科大学 | 1114 | 585 | 1120 | 583 | 20899 |
|